
本品主要成份为枸橼酸莫沙必利。
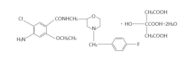
化学名称:4-氨基-5-氯-2-乙氧基-N-[[4-(4-氟苄基)-2-吗啉基]甲基]苯甲酰胺枸橼酸二水合物。
化学结构式: 
分子式:C21H25C1FN3O3.C6H8O7.2H2O
分子量:650.05
本品用于改善因胃肠动力削弱(如:功效性消化不良、慢性胃炎)引起的消化道症状,包括烧心、嗳气、恶心、吐逆、早饱、上腹胀、上腹痛等。
5mg(按C21H25C1FN3O3.C6H8O7计)
成人通常用量为1日3次,每次5mg(1片),饭前或饭后口服。
外洋同品种临床试验998例中有40例(4.0%)泛起不良反应。主要为腹泻(1.8%)和稀便(0.5%),口渴(0.5%)、不适(0.3%)等。服用本品的792例患者中有30例(3.8%)实验室检查值爆发异常转变,主要是嗜酸性粒细胞增多(1.1%)、甘油三酯升高(1.0%)、AST(GOT)、ALT(GPT)、ALP以及γ-GTP的升高(各0.4%)等。(批准时) 外洋同品种上市后使用情形视察:特殊视察(恒久使用视察)的3014例患者中有74例(2.5%)泛起不良反应。主要为腹泻和稀便(0.8%),腹痛(0.4%),口渴(0.3%)等。(再审查竣事时)(其他不良反应详见药品说明书)